logo
Zam贸wienia publiczne » Marzec 2010
30/03/2010 Og艂oszenie o zam贸wieniu

Utrzymanie czysto艣ci, usuwanie skutk贸w zimy na terenach oraz w budynkach komunalnych, prywatnych i u偶ytkowych administrowanych przez Przedsi臋biorstwo Gospodarki Komunalnej i Mieszkaniowej Sp. z o. o. w Inowroc艂awiu

Inowroc艂aw: Utrzymanie czysto艣ci, usuwanie skutk贸w zimy na terenach oraz w budynkach komunalnych, prywatnych i u偶ytkowych administrowanych przez Przedsi臋biorstwo Gospodarki Komunalnej i Mieszkaniowej Sp. z o. o. w Inowroc艂awiu
Numer og艂oszenia: 69515 - 2010; data zamieszczenia: 30.03.2010

Nr sprawy nadany przez zamawiaj膮cego: DMP.10/2010


OG艁OSZENIE O ZAM脫WIENIU - us艂ugi

Zamieszczanie og艂oszenia: obowi膮zkowe.

Og艂oszenie dotyczy: zam贸wienia publicznego.

SEKCJA I: ZAMAWIAJ膭CY

I. 1) NAZWA I ADRES: Przedsi臋biorstwo Gospodarki Komunalnej i Mieszkaniowej Sp. z o.o. , ul. ks. Piotra Wawrzyniaka 33, 88-100 Inowroc艂aw, woj. kujawsko-pomorskie, tel. 052 3573454, faks 051 3564305.

Adres strony internetowej zamawiaj膮cego: www.pgkimino.pl

I. 2) RODZAJ ZAMAWIAJ膭CEGO: Inny: Sp贸艂ka z o.o. - wlasno艣膰 samorz膮dowa, zarz膮dzanie nieruchomo艣ciami.

SEKCJA II: PRZEDMIOT ZAM脫WIENIA

II.1) OKRE艢LENIE PRZEDMIOTU ZAM脫WIENIA

II.1.1) Nazwa nadana zam贸wieniu przez zamawiaj膮cego: Utrzymanie czysto艣ci, usuwanie skutk贸w zimy na terenach oraz w budynkach komunalnych, prywatnych i u偶ytkowych administrowanych przez Przedsi臋biorstwo Gospodarki Komunalnej i Mieszkaniowej Sp. z o. o. w Inowroc艂awiu.

II.1.2) Rodzaj zam贸wienia: us艂ugi.

II.1.3) Okre艣lenie przedmiotu oraz wielko艣ci lub zakresu zam贸wienia: przedmiot zam贸wienia obejmuje: a) sprz膮tanie powierzchni wewn臋trznych budynk贸w: tj. klatek schodowych, piwnic, strych贸w - z pomieszcze艅 i urz膮dze艅 budynk贸w wielolokalowych przeznaczonych do wsp贸lnego u偶ytku, b) sprz膮tanie powierzchni zewn臋trznych: tj. chodnik贸w, wjazd贸w, podw贸rek, piel臋gnacja ziele艅c贸w na terenie nieruchomo艣ci, sprz膮tanie podjazd贸w dla os贸b niepe艂nosprawnych, sprz膮tanie miejsc wok贸艂 urz膮dze艅 do zbierania odpad贸w lub os艂on 艣mietnikowych. Sprz膮tanie biur, c) sprz膮tanie (wygrabienie) wiosenne teren贸w z li艣ci, a tak偶e w okresie jesiennym usuwanie na bie偶膮co opad艂ych li艣ci, d) od艣nie偶anie w okresie zimowym: chodnik贸w wzd艂u偶 budynk贸w, wjazd贸w, dojazd贸w i doj艣膰 do 艣mietnik贸w, podjazd贸w dla os贸b niepe艂nosprawnych, na posesjach i nieruchomo艣ciach, usuwanie nawis贸w (sopli) z okap贸w, rynien i innych cz臋艣ci elewacji budynku. Zgodnie ze szczeg贸艂owy zakres obowi膮zk贸w i odpowiedzialno艣ci b臋d膮cym integraln膮 cz臋艣ci膮 specyfikacji istotnych warunk贸w zam贸wienia. Zam贸wienie podzielono na dwa zadania z mo偶liwo艣ci膮 sk艂adania ofert cz臋艣ciowych, w tym: Zad. I. - obejmuje budynki komunalne, prywatne oraz u偶ytkowe wymienione w za艂膮czniku nr 8 do specyfikacji istotnych warunk贸w zam贸wienia. 艁膮czny zakres zadania to 71.032,33 m

TypRozmiarPobierzKomentarzData dodaniaLicznik 
.DOC356.5 KB POBIERZSpecyfikacja istotnych warunk贸w zam贸wienia2010-03-30 13:50:59580
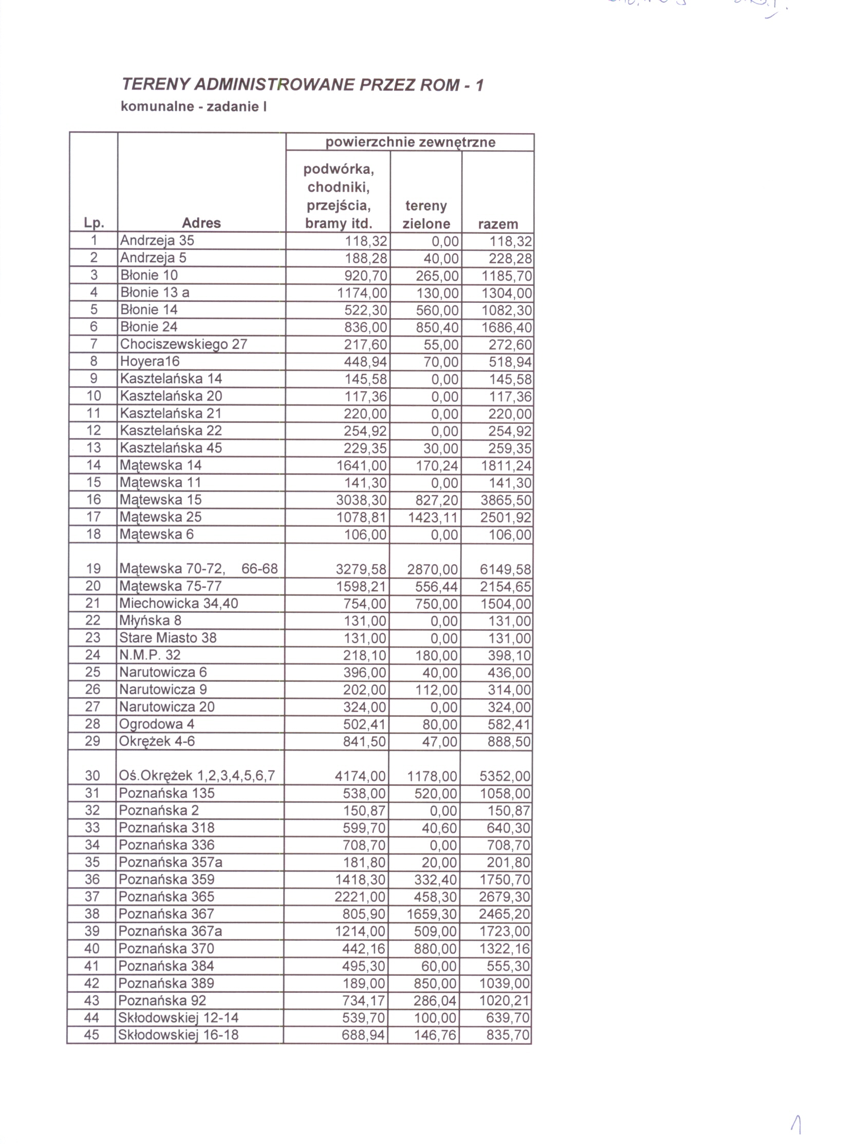
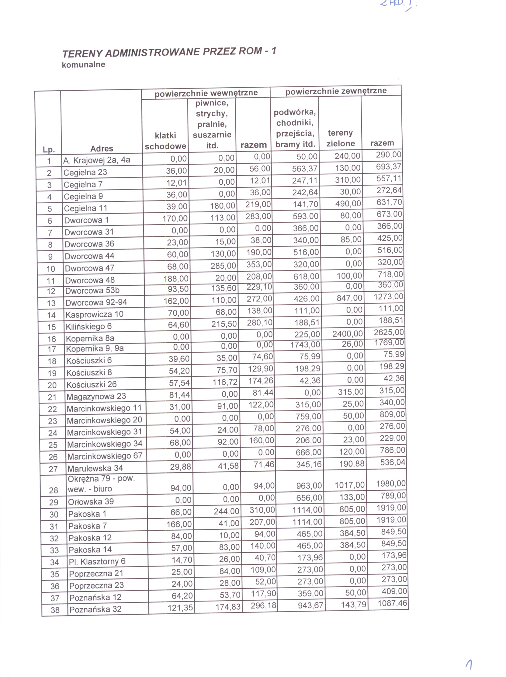
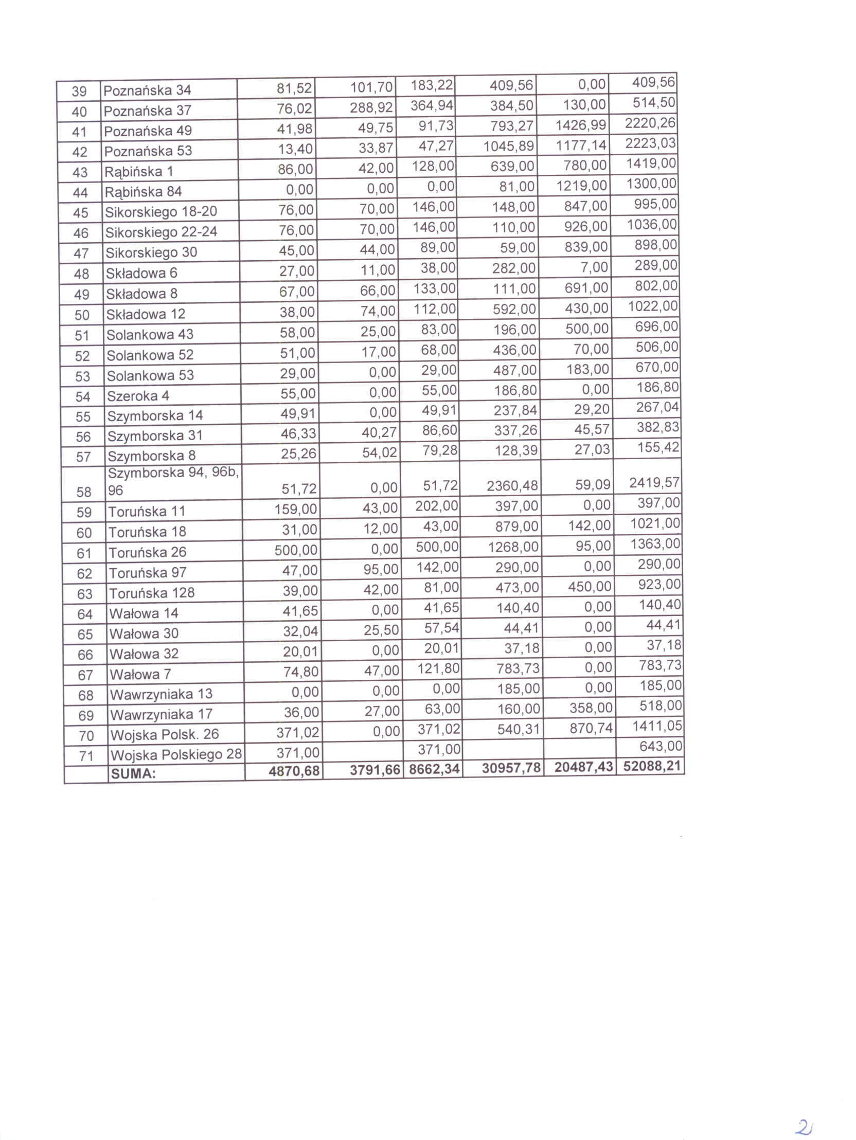
graf.926 KB POBIERZza艂. nr 9 do siwz- Zad. I.2010-03-30 13:51:32650
graf.761.7 KB POBIERZs.22010-03-30 13:51:54587
graf.662.2 KB POBIERZs.32010-03-30 13:52:23580
graf.125.6 KB POBIERZs.42010-03-30 13:52:40644
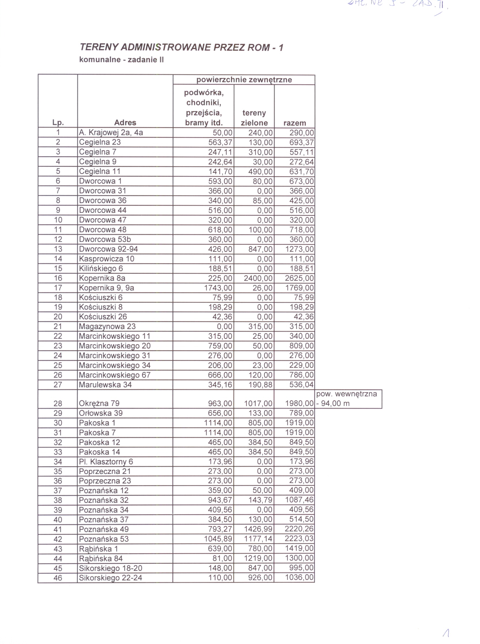
graf.939.5 KB POBIERZza艂. nr 9 do siwz- Zad. II.2010-03-30 13:53:19550
graf.623.2 KB POBIERZs.22010-03-30 13:53:41577
graf.612.9 KB POBIERZs.32010-03-30 13:53:59652
graf.310.8 KB POBIERZs.42010-03-30 13:54:20566
.DOC52.5 KB POBIERZOg艂oszenie2010-03-30 13:55:20434
graf.651.2 KB POBIERZZmiana siwz2010-04-08 11:39:18544
graf.553.5 KB POBIERZZmiana terminu sk艂adania ofert2010-04-13 10:41:09512
.DOC39 KB POBIERZOg艂oszenie o zmianie og艂oszenia2010-04-14 12:09:15513
.DOC337.5 KB POBIERZZmiana specyfikacji istotnych warunk贸w zam贸wienia2010-04-14 12:09:58472
graf.735.7 KB POBIERZZmiana za艂. nr 9 do siwz- Zad. I.2010-04-14 12:15:34523
graf.307.8 KB POBIERZs.22010-04-14 12:15:49504
graf.405.5 KB POBIERZs.32010-04-14 12:16:09515
graf.120.8 KB POBIERZs.42010-04-14 12:16:19539
graf.761.3 KB POBIERZZmiana za艂. nr 9 do siwz- Zad. II.2010-04-14 12:17:07508
graf.412.7 KB POBIERZs.22010-04-14 12:17:30497
graf.408.3 KB POBIERZs.32010-04-14 12:17:46474
graf.244.8 KB POBIERZs.42010-04-14 12:18:07554
graf.589.7 KB POBIERZZawiadomienie o wyborze najkorzystniejszej oferty2010-04-29 14:55:48470
graf.386.9 KB POBIERZZbiorcze zestawienie ofert- zad.I.2010-04-29 14:56:23472
graf.390.2 KB POBIERZZbiorcze zestawienie ofert- zad. II.2010-04-29 14:56:48417
graf.246.9 KB POBIERZWykonawca wykluczony2010-04-29 14:57:23473
graf.291.9 KB POBIERZStreszczenie ocen - zad. I.2010-04-29 14:57:46399
graf.269.3 KB POBIERZStreszczenie ocen - zad.II.2010-04-29 14:58:06452
.DOC41 KB POBIERZOg艂oszenie o udzieleniu zam贸wienia BZP nr 145242-20102010-05-26 13:15:00404

Autor : kg
Zredagowa艂(a) : Krystyna Glonek
Data wprowadzenia : 2010-03-30 13:47:13
Data ostatniej modyfikacji : 2010-03-30 13:47:13
Liczba wy艣wietle艅 : 1729



licznik odwiedzin: 5957104