|
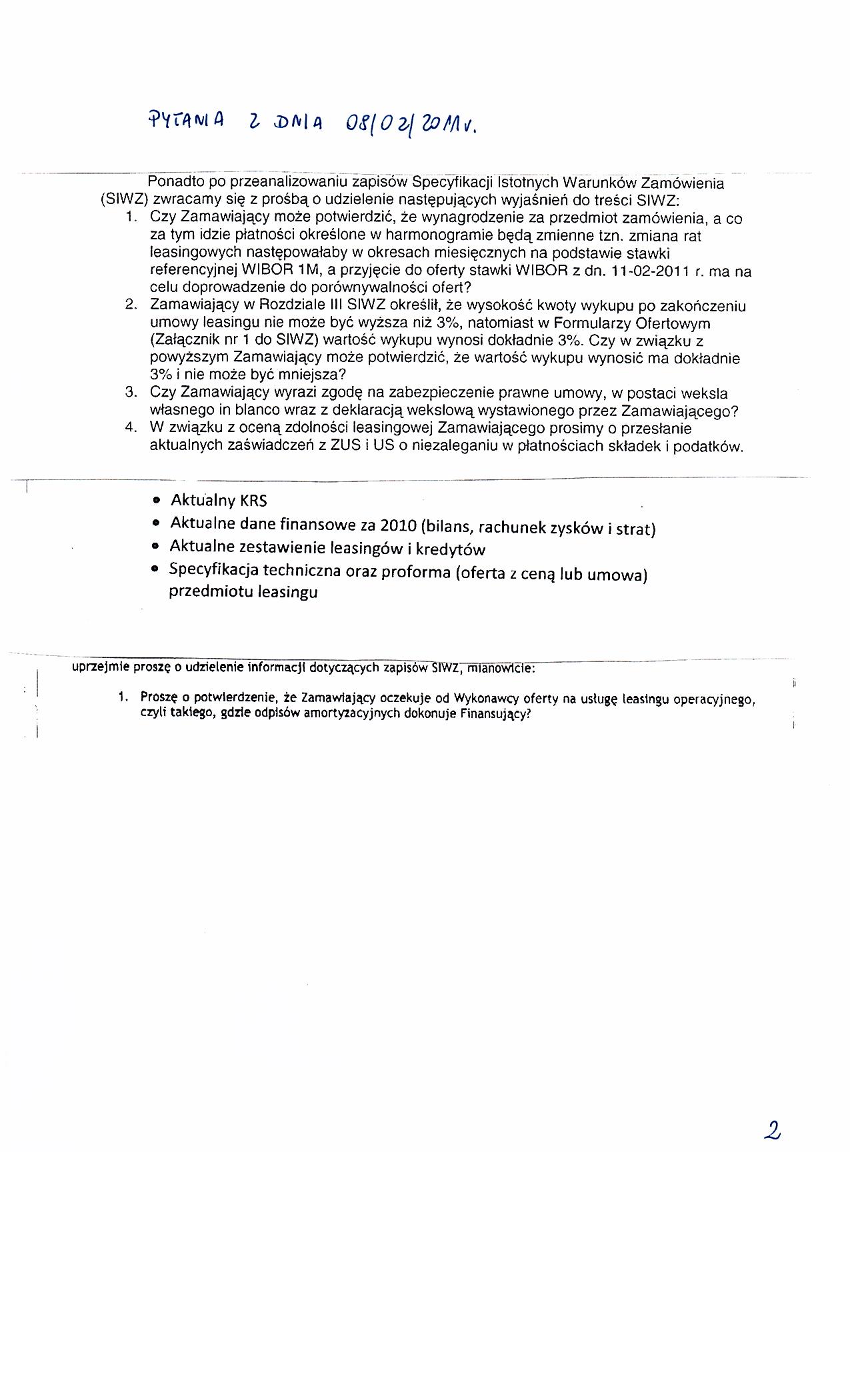
| Typ | Rozmiar | Pobierz | Komentarz | Data dodania | Licznik | ? | 22.4 KB | POBIERZ | Ogłoszenie | 2011-02-04 09:56:55 | 468 | .DOC | 243 KB | POBIERZ | Specyfikacja istotnych warunków zamówienia | 2011-02-04 09:58:03 | 608 | .DOC | 23.5 KB | POBIERZ | Zał. nr 5 do siwz- OT | 2011-02-04 09:58:42 | 593 | graf. | 206.7 KB | POBIERZ | zał. nr 6 do siwz -NIP | 2011-02-04 09:59:02 | 517 | graf. | 271.1 KB | POBIERZ | zał. nr 7 do siwz-Regon | 2011-02-04 09:59:43 | 583 | graf. | 268.6 KB | POBIERZ | Odpowiedzi na zapytania | 2011-02-09 12:28:23 | 497 | graf. | 193.6 KB | POBIERZ | s.2 | 2011-02-09 12:28:35 | 556 | graf. | 302.7 KB | POBIERZ | Treść pytań | 2011-02-09 12:28:53 | 564 | graf. | 236.3 KB | POBIERZ | s.2 | 2011-02-09 12:29:09 | 513 | .PDF | 859.7 KB | POBIERZ | Umowa Spółki | 2011-02-09 12:29:40 | 685 | graf. | 300 KB | POBIERZ | ZUS | 2011-02-09 12:30:14 | 530 | graf. | 310.1 KB | POBIERZ | NUS | 2011-02-09 12:30:27 | 544 | graf. | 262.3 KB | POBIERZ | s.2 | 2011-02-09 12:30:39 | 524 | .ZIP | 3235.9 KB | POBIERZ | KRS | 2011-02-09 12:31:43 | 531 | .PDF | 2478.3 KB | POBIERZ | sprawozdanie 2009 | 2011-02-09 12:32:41 | 575 | .ZIP | 1706.3 KB | POBIERZ | sprawozdanie 2010 | 2011-02-09 12:33:24 | 561 | graf. | 142.8 KB | POBIERZ | zobowiązania | 2011-02-09 12:34:10 | 554 | graf. | 201.4 KB | POBIERZ | s.2 | 2011-02-09 12:34:24 | 564 | graf. | 288.4 KB | POBIERZ | s.3 | 2011-02-09 12:34:38 | 650 | graf. | 255.9 KB | POBIERZ | Odpowiedzi na zapytania- II | 2011-02-10 10:01:06 | 547 | graf. | 80.5 KB | POBIERZ | Treść pytań | 2011-02-10 10:01:18 | 595 | graf. | 233.7 KB | POBIERZ | Odpowiedzi na zapytania-III | 2011-02-11 13:40:19 | 493 | graf. | 204 KB | POBIERZ | Treść pytań | 2011-02-11 13:40:46 | 472 | graf. | 216.6 KB | POBIERZ | Zawiadomienie o unieważnieniu postępowania. | 2011-02-18 11:57:00 | 485 |
|
| Autor : | KG | | Zredagował(a) : | Krystyna Glonek | | Data wprowadzenia : | 2011-02-04 09:56:26 | | Data ostatniej modyfikacji : | 2011-02-04 09:56:26 | | Liczba wyświetleń : | 1821 |
|