logo
Zam贸wienia publiczne » Lipiec 2008
28/07/2008 Og艂oszenie o wszcz臋ciu post臋powania.

"Utrzymanie czysto艣ci, konserwacja zieleni oraz usuwanie skutk贸w zimy na terencach oraz w budynkach komunalnych, prywatnych, u偶ytkowych administrowanych przez Przedsi臋biorstwo Gospodarki Komunalnej i Mieszkaniowej Sp. z o.o. w Inowroc艂awiu".

Numer sprawy: DMP. 48/2008聽聽聽聽聽聽聽聽聽聽聽聽聽聽聽聽聽聽聽聽聽聽聽聽聽聽聽聽聽聽聽聽聽聽聽聽聽聽聽聽聽Inowroc艂aw, dnia 22 lipca 2008 r.聽聽

OG艁OSZENIEOWSZCZ臉CIUPOST臉POWANIA

Numer og艂oszenia we WE: 2008/S/144-193901; data zamieszczenia 26/07/2008

Na stronie internetowej: 28/07/2008

Zamieszczenie obowi膮zkowe

Zam贸wienia publiczne

1. Zamawiaj膮cy: Przedsi臋biorstwo Gospodarki Komunalnej i Mieszkaniowej Sp. z o.o. w Inowroc艂awiu,

S膮d Rejonowy w Bydgoszczy, XIII Wydzia艂 Gospodarczy Krajowego Rejestru S膮dowego Numer KRS 0000059483

REGON: 091581150 NIP: 556-080-08-85

Kapita艂 Zak艂adowy Sp贸艂ki: 2聽518聽500, 00 z艂

Konto: Bank Zachodni WBK S. A.O/ Inowroc艂aw聽聽聽聽聽 88 1090 1069 0000 0000 0701 3956

Adres pocztowy:

Ulica: ks. Piotra Wawrzyniaka 33

Kod: 88-100, Miejscowo艣膰: Inowroc艂aw

Telefon / faks 052 35 64聽304

Adres strony internetowej: http://pgkim-inowroclaw.samorzady.pl

e-mail: pgkim@poczta.internetdsl.pl

Rodzaj zamawiaj膮cego: Sp贸艂ka z o. o. - w艂asno艣膰 samorz膮dowa, zarz膮dzanie nieruchomo艣ciami

1.1. Osobami uprawnionymi do kontakt贸w z wykonawcami s膮:

a) w cz臋艣ci formalnej zam贸wienia -Krystyna Glonek, tel.052 35 64 304,

b) w cz臋艣ci merytorycznej zam贸wienia - Zdzis艂awa Molenda, tel. 052聽357 42 78.

1.2. Op艂ata za otrzymanie specyfikacji istotnych warunk贸w zam贸wienia b臋dzie pokrywa膰 jedynie koszty jej druku orazprzekazania.

1.3. Wykonawca zainteresowany post臋powaniem powinien z艂o偶y膰 wniosek u zamawiaj膮cego z podaniem wszystkich danych firmy -niezb臋dnych do przekazywania zmian i zapyta艅 dotycz膮cych powy偶szego post臋powania.

2. Nazwa nadana zam贸wieniu: "Utrzymanie czysto艣ci, konserwacja zieleni oraz usuwanie skutk贸w zimy na terenach oraz w budynkach komunalnych, prywatnych, u偶ytkowych administrowanych przez Przedsi臋biorstwo Gospodarki Komunalnej i Mieszkaniowej Sp. z o. o. w Inowroc艂awiu".

Rodzaj zam贸wienia: us艂uga

przys艂uguje odwo艂anie

2.1. Przedmiotem zam贸wienia jest: sprz膮tanie powierzchni wewn臋trznych budynk贸w: tj. klatek schodowych, piwnic, strych贸w - z pomieszcze艅 i urz膮dze艅 budynk贸w wielolokalowych przeznaczonych do wsp贸lnego u偶ytku. Sprz膮tanie powierzchni zewn臋trznych: tj. chodnik贸w, wjazd贸w, podw贸rek, piel臋gnacja ziele艅c贸w na terenie nieruchomo艣ci, sprz膮tanie podjazd贸w dla os贸b niepe艂nosprawnych, sprz膮tanie miejsc wok贸艂 urz膮dze艅 do zbierania odpad贸w lub os艂on 艣mietnikowych. Sprz膮tanie biur. Sprz膮tanie (wygrabienie) wiosenne teren贸w z li艣ci, a tak偶e w okresie jesiennym usuwanie na bie偶膮co opad艂ych li艣ci, ciecie trawy i krzew贸w. Od艣nie偶anie w okresie zimowym: chodnik贸w wzd艂u偶 budynk贸w, wjazd贸w, dojazd贸w i doj艣膰 do 艣mietnik贸w, podjazd贸w dla os贸b niepe艂nosprawnych, na posesjach i nieruchomo艣ciach, usuwanie nawis贸w (sopli) z okap贸w, rynien i innych cz臋艣ci elewacji budynku. 

Zgodnie ze szczeg贸艂owym opisem stanowi膮cym integraln膮 cz臋艣膰 specyfikacji istotnych warunk贸w zam贸wienia.

Wsp贸lny S艂ownik Zam贸wie艅 (CPV): 74.70.00.00 - 6, 74.73.10.00 - 6, 74.75.00.00 - 1, 90.21.20.00 - 6, 90.21.30.00 - 3

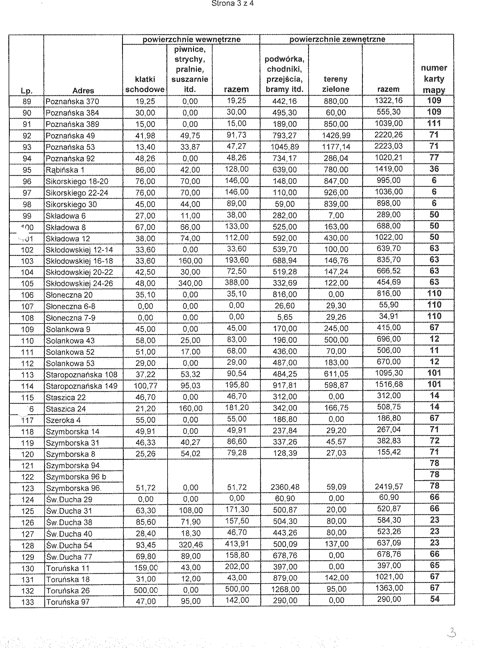
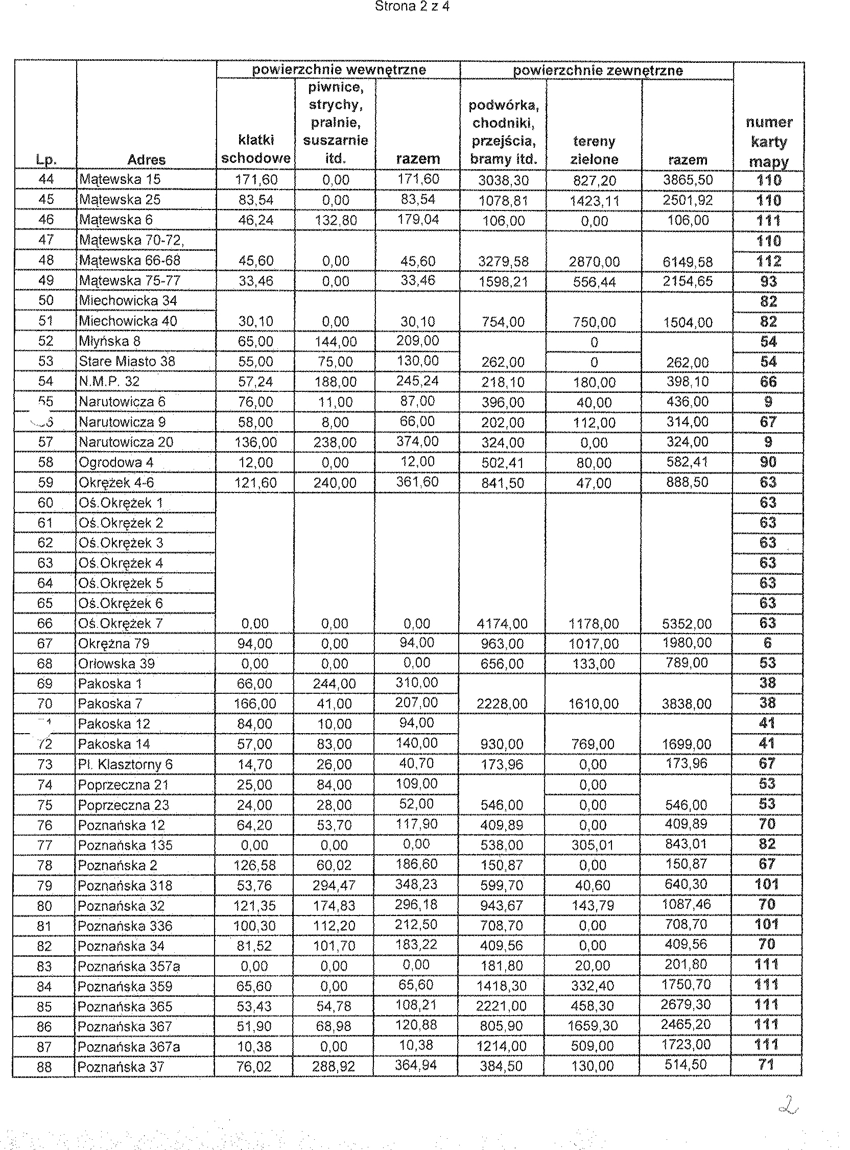
2.2. Wielko艣膰 lub zakres zam贸wienia: zam贸wienie po. 133聽000 euro. Powierzchnie obj臋te zam贸wieniem to ok. 150.000 m

TypRozmiarPobierzKomentarzData dodaniaLicznik 
graf.2002 KB POBIERZZa艂 nr 2 do umowy - bud. komunalne, s. 12008-07-28 07:33:52381
graf.1893.7 KB POBIERZZa艂. nr 2 do umowy- bud. komunalne, s.22008-07-28 07:35:17416
graf.2123.2 KB POBIERZZa艂. nr 2 do umowy- bud. komunalne, s.32008-07-28 07:36:11416
graf.705 KB POBIERZza艂. nr 2 do umowy- bud. komunalne, s. 42008-07-28 07:36:55391
graf.1856.8 KB POBIERZZa艂. nr 2 do umowy- bud. prywatne, s.12008-07-28 07:38:12412
graf.624.4 KB POBIERZZa艂. nr 2 do umowy- bud. prywatne, s.22008-07-28 07:38:57373
graf.254.3 KB POBIERZZal. nr 2 do umowy- pow. biurowe2008-07-28 07:39:33371
graf.229.6 KB POBIERZZa艂. nr 2 do umowy2008-07-28 07:40:20448
.DOC318 KB POBIERZSpecyfikacja istotnych warunk贸w zam贸wienia.2008-07-28 07:43:40457
.DOC60.5 KB POBIERZog艂oszenie2008-07-28 07:51:54452
graf.836.4 KB POBIERZZmiana terminu sk艂adania ofert.2008-09-01 12:02:24431
graf.940.8 KB POBIERZOdpowiedzi na zapytania i modyfikacja specyfikacji istotnych warunk贸w zam贸wienia2008-09-02 15:54:28390
graf.996.3 KB POBIERZOdpowiedzi na zapytania i modyfikacja specyfikacji istotnych warunk贸w zam贸wienia2008-09-02 15:55:30436
graf.1183.8 KB POBIERZTre艣膰 pyta艅 - s.12008-09-02 15:56:43368
graf.1038.6 KB POBIERZTre艣膰 pyta艅 - s.22008-09-02 15:57:26428
graf.947.3 KB POBIERZTre艣膰 pyta艅 - s.32008-09-02 15:59:11368
graf.271.1 KB POBIERZTre艣膰 pyta艅 - s. 42008-09-02 15:59:58358
graf.805.2 KB POBIERZZawiadomienie o uniewa偶nieniu post臋powania.2008-09-15 11:57:36385
graf.642.9 KB POBIERZZbiorcze zestawienie ofert.2008-09-15 11:58:13426

Autor : kg
Zredagowa艂(a) : Krystyna Glonek
Data wprowadzenia : 2008-07-28 07:30:31
Data ostatniej modyfikacji : 2008-07-28 07:30:31
Liczba wy艣wietle艅 : 1489



licznik odwiedzin: 5948317