logo
Zam贸wienia publiczne » Wrzesie艅 2008
23/09/2008 Og艂oszenie o wszcz臋ciu post臋powania.

"Utrzymanie czysto艣ci, konserwacja zieleni oraz usuwanie skutk贸w zimy na terenach oraz w budynkach komunlanych, prywatnych, u偶ytkowych administrowanych przez Przedsi臋biorstwo Gospodarki Komunalnej i Mieszkaniowej Sp. z o.o. w Inowroc艂awiu".

Numer sprawy: DMP. 60/2008聽聽聽聽聽聽聽聽聽聽聽聽聽聽聽聽聽聽聽聽聽聽聽聽聽聽聽聽聽聽聽聽 Inowroc艂aw, dnia 23 wrze艣nia 2008 r.聽聽

OG艁OSZENIEOWSZCZ臉CIUPOST臉POWANIA

Numer og艂oszenia w BZP: 223976 - 2008, z dnia 23/09/2008

Na stronie internetowej: 23/09/2008

Zamieszczenie obowi膮zkowe

Zam贸wienia publiczne

1. Zamawiaj膮cy: Przedsi臋biorstwo Gospodarki Komunalnej i Mieszkaniowej Sp. z o.o. w Inowroc艂awiu,

S膮d Rejonowy w Bydgoszczy, XIII Wydzia艂 Gospodarczy Krajowego Rejestru S膮dowego Numer KRS 0000059483

REGON: 091581150 NIP: 556-080-08-85

Kapita艂 Zak艂adowy Sp贸艂ki: 2聽518聽500, 00 z艂

Konto: Bank Zachodni WBK S. A.O/ Inowroc艂aw聽聽聽聽聽 88 1090 1069 0000 0000 0701 3956

Adres pocztowy:

Ulica: ks. Piotra Wawrzyniaka 33

Kod: 88-100, Miejscowo艣膰: Inowroc艂aw

Telefon / faks 052 35 64聽304

Adres strony internetowej: http://pgkim-inowroclaw.samorzady.pl 

e-mail: pgkim@poczta.internetdsl.pl

Rodzaj zamawiaj膮cego: Sp贸艂ka z o. o. - w艂asno艣膰 samorz膮dowa, zarz膮dzanie nieruchomo艣ciami

1.1. Osobami uprawnionymi do kontakt贸w z wykonawcami s膮:

a) w cz臋艣ci formalnej zam贸wienia -Krystyna Glonek, tel.052 35 64 304,

b) w cz臋艣ci merytorycznej zam贸wienia - Zdzis艂awa Molenda, tel. 052聽357 42 78.

1.2. Op艂ata za otrzymanie specyfikacji istotnych warunk贸w zam贸wienia b臋dzie pokrywa膰 jedynie koszty jej druku oraz przekazania.

1.3. Wykonawca zainteresowany post臋powaniem powinien z艂o偶y膰 wniosek u zamawiaj膮cego z podaniem wszystkich danych firmy - niezb臋dnych do przekazywania zmian i zapyta艅 dotycz膮cych powy偶szego post臋powania.

2. Nazwa nadana zam贸wieniu: "Utrzymanie czysto艣ci, konserwacja zieleni oraz usuwanie skutk贸w zimy na terenach oraz w budynkach komunalnych, prywatnych, u偶ytkowych administrowanych przez Przedsi臋biorstwo Gospodarki Komunalnej i Mieszkaniowej Sp. z o. o. w Inowroc艂awiu".

Rodzaj zam贸wienia: us艂uga

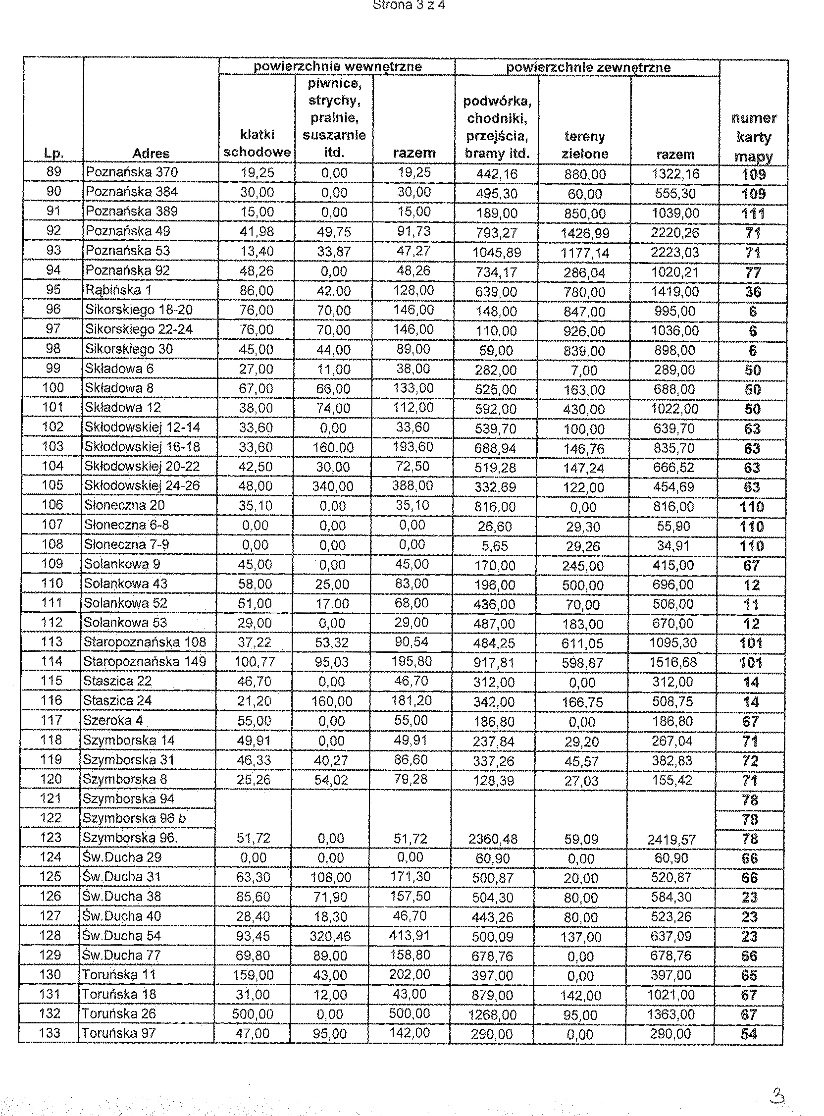
2.1. Przedmiotem zam贸wienia jest: sprz膮tanie powierzchni wewn臋trznych budynk贸w: tj. klatek schodowych, piwnic, strych贸w - z pomieszcze艅 i urz膮dze艅 budynk贸w wielolokalowych przeznaczonych do wsp贸lnego u偶ytku. Sprz膮tanie powierzchni zewn臋trznych: tj. chodnik贸w, wjazd贸w, podw贸rek, piel臋gnacja ziele艅c贸w na terenie nieruchomo艣ci, sprz膮tanie podjazd贸w dla os贸b niepe艂nosprawnych, sprz膮tanie miejsc wok贸艂 urz膮dze艅 do zbierania odpad贸w lub os艂on 艣mietnikowych. Sprz膮tanie biur.Sprz膮tanie (wygrabienie) wiosenne teren贸w z li艣ci, a tak偶e w okresie jesiennym usuwanie na bie偶膮co opad艂ych li艣ci. Od艣nie偶anie w okresie zimowym: chodnik贸w wzd艂u偶 budynk贸w, wjazd贸w, dojazd贸w i doj艣膰 do 艣mietnik贸w, podjazd贸w dla os贸b niepe艂nosprawnych, na posesjach i nieruchomo艣ciach, usuwanie nawis贸w (sopli) z okap贸w, rynien i innych cz臋艣ci elewacji budynku.Powierzchnie obj臋te zam贸wieniem to ok. 150.000 m

TypRozmiarPobierzKomentarzData dodaniaLicznik 
.DOC302 KB POBIERZSpecyfikacja istotnych warunk贸w zam贸wienia.2008-09-23 14:24:47434
graf.2018.6 KB POBIERZza艂. nr 2 do wzoru umowy - s. 12008-09-23 14:37:22392
graf.1923.2 KB POBIERZza艂. nr 2 do wzoru umowy - s.22008-09-23 14:38:21397
graf.2119.1 KB POBIERZza艂. nr 2 do wzoru umowy - s.32008-09-23 14:39:19394
graf.648.1 KB POBIERZza艂. nr 2 do wzoru umowy-s.42008-09-23 14:39:51426
graf.1833.5 KB POBIERZza艂. nr 2 do wzoru umowy -s.52008-09-23 14:40:40438
graf.552.9 KB POBIERZza艂. nr 2 do wzoru umowy -s.62008-09-23 14:41:18372
graf.147.5 KB POBIERZza艂. nr 2 do wzoru umowy-s. 72008-09-23 14:41:46385
graf.279.1 KB POBIERZza艂. nr 2 do wzoru umowy -s.82008-09-23 14:42:12437
.DOC54.5 KB POBIERZOg艂oszenie2008-09-23 14:50:11457
graf.846.7 KB POBIERZZawiadomienie o wyborze najkorzystniejszej oferty.2008-10-03 14:52:21399
graf.647.2 KB POBIERZZbiorcze zestawienie ofert.2008-10-03 14:52:50418
graf.375.2 KB POBIERZOferta odrzucona.2008-10-03 14:53:17380
graf.440.6 KB POBIERZStreszczenie oceny i por贸wnanie z艂o偶onych ofert.2008-10-03 14:53:53436

Autor : kg
Zredagowa艂(a) : Krystyna Glonek
Data wprowadzenia : 2008-09-23 14:23:53
Data ostatniej modyfikacji : 2008-09-23 14:46:29
Liczba wy艣wietle艅 : 1534

Redaktor  Data modyfikacji 
Krystyna Glonek  23.09.2008 14:23poka偶 t膮 wersj臋



licznik odwiedzin: 5948323