logo
Zam贸wienia publiczne » Wrzesie艅 2006
29.09.2006 r. Og艂oszenie o wszcz臋ciu post臋powania.

"Przygotowanie i wydanie posi艂k贸w profilaktycznych dla pracownik贸w Przedsi臋biorstwa Gospodarki Komunalnej i Mieszkaniowej Sp. z o.o. w Inowroc艂awiu".

Numer sprawy: DMP. 89/2006聽聽聽聽聽聽聽聽聽聽聽聽聽聽聽聽聽聽聽聽聽聽聽 Inowroc艂aw, dnia 29 wrze艣nia 2006 r.聽聽

聽聽聽聽聽聽聽聽聽聽聽聽聽聽聽聽聽聽聽聽聽聽聽聽聽聽聽聽聽聽聽聽聽聽 OG艁OSZENIE

o przetargu nieograniczonym o warto艣ci poni偶ej 60 000 EURO

1.聽聽聽聽聽 Zamawiaj膮cy: Przedsi臋biorstwo Gospodarki Komunalnej i Mieszkaniowej Sp. z o.o. w Inowroc艂awiu

Ulica: ks. Piotra Wawrzyniaka 33

Kod: 88-100, Miejscowo艣膰: Inowroc艂aw

Telefon: (0-52) 357- 48-18, faks: (0-52) 357-32-32

REGON: 091581150 NIP: 556-080-85

E-mail: pgkim@poczta.internetdsl.pl

2.聽聽聽聽聽 Przedmiot zam贸wienia: „Przygotowanie i wydanie posi艂k贸w profilaktycznych dla pracownik贸w Przedsi臋biorstwa Gospodarki Komunalnej i Mieszkaniowej Sp. z o. o. w Inowroc艂awiu”.

rodzaj zam贸wienia: us艂uga

tryb post臋powania: przetarg nieograniczony

3. Opis przedmiotu zam贸wienia:

a) wymagana kaloryczno艣膰 posi艂k贸w – 1000 kcl,

b) posi艂ki powinny by膰 艣wie偶o przygotowane i przekazywane jako gor膮ce,

c) ilo艣膰 dzienna posi艂k贸w –ok.102- ostateczne ilo艣ci dzienne posi艂k贸w ustalane b臋d膮 ka偶dego dnia w godz. 8.00 do 8.30, po telefonicznych uzgodnieniach.

d) odbioru dokonywa膰 b臋dzie upowa偶niony pracownik PGKiM Sp. z o.o.

e) posi艂ki do odbioru powinny by膰 gotowe na godz. 9.15.

4. Nomenklatura – wg Wsp贸lnego S艂ownika Zam贸wie艅 (CPV):

聽聽聽聽 55.32.10.00 – 6 us艂ugi przygotowania posi艂k贸w

5. Nie dopuszcza si臋 sk艂adania ofert cz臋艣ciowych.

6. Nie dopuszcza si臋 sk艂adania ofert wariantowych.

7. Osobami uprawnionymi do kontakt贸w z wykonawcami s膮:

聽聽聽 a) Lidia Owedyk, tel. 052聽355 41 01,

聽聽聽 b) Wojciech Miko艂ajczak, tel. 052聽357 90 11,

聽聽聽 c) Krystyna Glonek, tel./faks: 052 35 64聽304/ 357 48 18.

8. Termin (okres) realizacji zam贸wienia: od 2 listopada 2006 r. do 31 marca 2007 r.

9. Adres strony internetowej, na kt贸rej dost臋pna jest specyfikacja istotnych warunk贸w zam贸wienia: http://pgkim-inowroclaw.samorzady.pl

10. Op艂ata za otrzymanie specyfikacji istotnych warunk贸w zam贸wienia b臋dzie pokrywa膰 jedynie koszty jej druku orazprzekazania.

11. Wykonawca zainteresowany post臋powaniem powinien z艂o偶y膰 wniosek u zamawiaj膮cego z podaniem wszystkich danych firmy -niezb臋dnych do przekazywania zmian i zapyta艅聽dotycz膮cych powy偶szego post臋powania.

12. O udzielenie zam贸wienia mog膮 ubiega膰 si臋 wy艂膮cznie Wykonawcy, kt贸rzy:

1) posiadaj膮 uprawnienia do wykonywania okre艣lonej dzia艂alno艣ci lub czynno艣ci, je偶eli聽ustawy nak艂adaj膮 obowi膮zek posiadania takich uprawnie艅,

2) nie podlegaj膮 wykluczeniu z post臋powania o udzielenie zam贸wienia.

Zamawiaj膮cy oceni spe艂nienie warunk贸w wymienionych w niniejszym rozdziale na podstawie聽z艂o偶onych przez Wykonawc臋, do oferty, o艣wiadcze艅 i dokument贸w.

Ocena spe艂niania warunk贸w dokonana zostanie na zasadzie:

聽聽聽聽聽聽聽聽聽聽聽聽聽聽聽聽聽聽聽聽聽聽聽聽聽聽聽聽聽聽聽聽聽聽聽聽聽聽聽聽聽聽聽聽聽聽 spe艂nia/ nie spe艂nia

13. W celu potwierdzenia, 偶e Wykonawca posiada uprawnienie do wykonywania okre艣lonej dzia艂alno艣ci lub czynno艣ci oraz nie podlega wykluczeniu na podstawie art. 24 ustawy z dnia 29 stycznia 2004 r. - Prawo zam贸wie艅 publicznych, zamawiaj膮cy 偶膮da, nast臋puj膮cych dokument贸w:

a) aktualnego odpisu z w艂a艣ciwego rejestru albo aktualnego za艣wiadczenia o wpisie do ewidencji dzia艂alno艣ci gospodarczej, je偶eli odr臋bne przepisy wymagaj膮 wpisu do rejestru lub zg艂oszenia do ewidencji dzia艂alno艣ci gospodarczej, wystawionego nie wcze艣niej ni偶 6 miesi臋cy przed up艂ywem terminu sk艂adania ofert;

b) o艣wiadczenie wykonawcy, 偶e nie posiada zaleg艂o艣ci podatkowej wobec Naczelnika Urz臋du Skarbowego,

c) o艣wiadczenie wykonawcy, 偶e nie posiada zaleg艂o艣ci wobec Zak艂adu Ubezpiecze艅 Spo艂ecznych w op艂acaniu sk艂adek na ubezpieczenie spo艂eczne, zdrowotne oraz FunduszPracy,

d) Decyzj臋 Inspektora Sanitarnego zezwalaj膮c膮 na prowadzenie dzia艂alno艣ci gospodarczej w聽zakresie przygotowania posi艂k贸w.

13.1. Wype艂nione nast臋puj膮ce za艂膮czniki:

a) formularz ofertowy wykonawcy (za艂. nr 1 do swiz).

b) o艣wiadczenie w trybie art. 24 ustawy Pzp (za艂. nr 3 do siwz),

c) o艣wiadczenie w trybie art.22 ust.1 pkt.1-4ustawyPzp (za艂. nr 4 do siwz).

13.2. Do oferty nale偶y za艂膮czy膰 menu z gramatur膮 i okre艣lon膮 kaloryczno艣ci膮.

14. Miejsce i termin sk艂adania ofert:

Oferty nale偶y z艂o偶y膰 w sekretariacie Przedsi臋biorstwa Gospodarki Komunalnej i Mieszkaniowej Sp. z o.o., ul. ks. Piotra Wawrzyniaka 33, 88-100 Inowroc艂aw,do dnia 16 pa藕dziernika 2006 r. godz. 10.30.

15. Kryteria wyboru oferty(w % ):

聽聽聽 a)cena100 %

聽聽

16. Zamawiaj膮cy nie wymaga wadium.

17.Miejsce i termin otwarcia ofert: Przedsi臋biorstwo Gospodarki Komunalnej i Mieszkaniowej Sp. z o.o., ul. ks. Piotra Wawrzyniaka 33, 88-100 Inowroc艂aw dnia 16 pa藕dziernika 2006 r.godz. 11.00.

18.Termin zwi膮zaniaofert膮: 30 dni .

19. Nie jest wymagane zabezpieczenie nale偶ytego wykonania umowy.

Podpis:

TypRozmiarPobierzKomentarzData dodaniaLicznik 
.DOC150 KB POBIERZspecyfikacja istotnych warunk贸w zam贸wienia.2006-09-29 14:36:28500
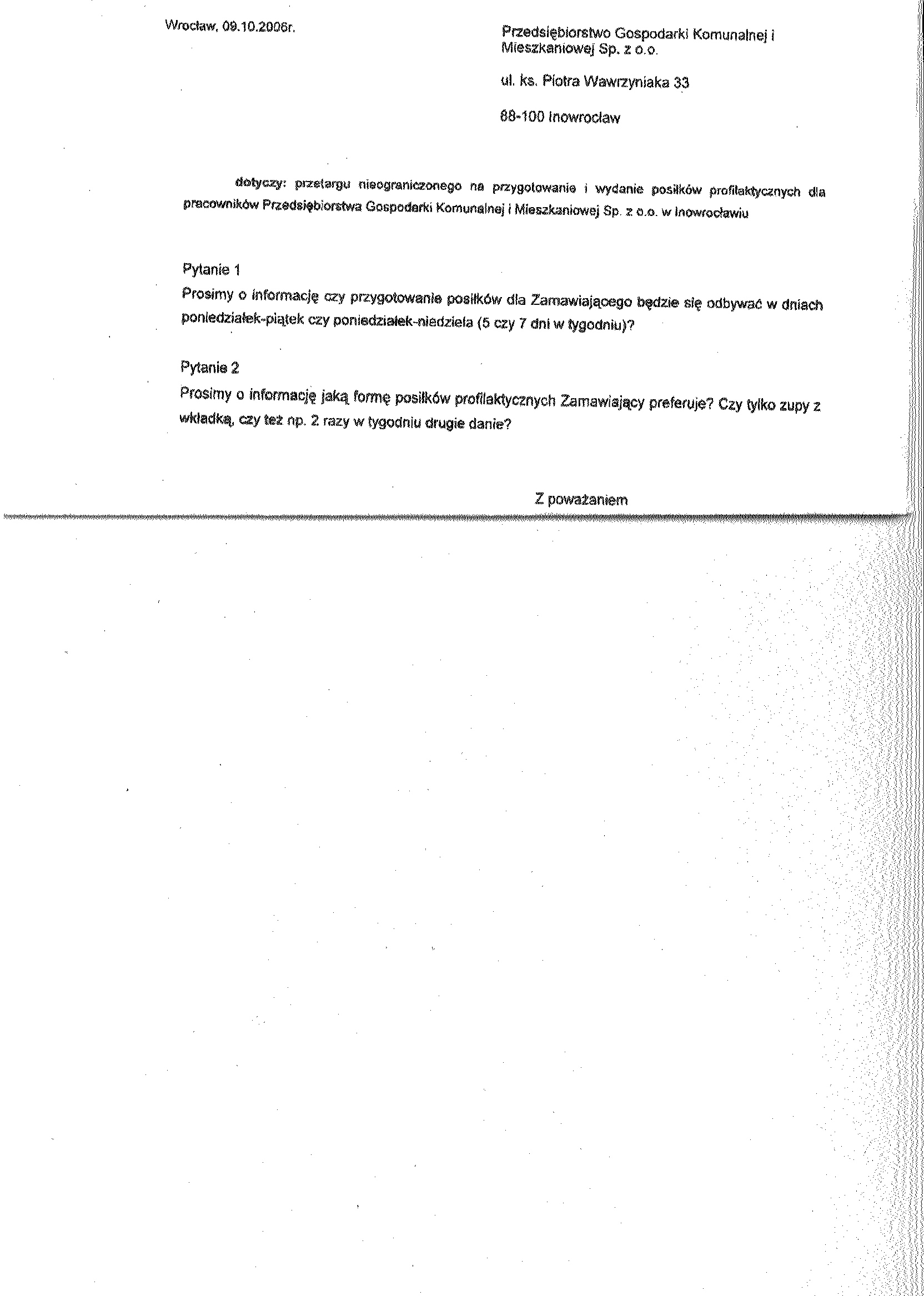
graf.583.1 KB POBIERZtre艣膰 pyta艅2006-10-10 14:45:58458
.DOC25.5 KB POBIERZmodyfikacja specyfikacji istotnych warunk贸w zam贸wienia.2006-10-10 14:46:57480
.DOC25 KB POBIERZOg艂oszenie o wyniku post臋powania.2006-10-18 12:49:49466
graf.510.3 KB POBIERZOg艂oszenie o zawarciu umowy.2006-11-23 14:37:03423

Autor : kg
Zredagowa艂(a) : Krystyna Glonek
Data wprowadzenia : 2006-09-29 14:35:23
Data ostatniej modyfikacji : 2006-09-29 14:35:23
Liczba wy艣wietle艅 : 1665



licznik odwiedzin: 5948296