logo
Zam贸wienia publiczne » Sierpie艅 2007
30/08/2007 Og艂oszenie o wszcz臋ciu post臋powania.

"Modernizacja centralnego ogrzewania w budynkach mieszkalnych przy ulicy M膮tewskiej 15 A, B, C, D w Inowroc艂awiu".

Numer sprawy: DMP. 86/2007聽聽聽聽聽聽聽聽聽聽聽聽聽聽聽聽聽聽聽聽聽聽聽聽聽聽聽聽聽聽聽聽聽聽聽聽聽Inowroc艂aw, dnia 30 sierpnia 2007 r.聽聽

OG艁OSZENIE O ZAM脫WIENIU

1. Nazwa i adres Zamawiaj膮cego: Urz膮d Miasta Inowroc艂awia ul. Roosevelta 36, w imieniu i na rzecz kt贸rego dzia艂a na mocy umowy o administrowanie, Przedsi臋biorstwo Gospodarki Komunalnej i Mieszkaniowej Sp. z o.o. w Inowroc艂awiu

Adres pocztowy:

Ulica: ks. Piotra Wawrzyniaka 33

Kod: 88-100, Miejscowo艣膰: Inowroc艂aw

Telefon / faks 052 35 64聽304

e-mail: pgkim@poczta.internetdsl.pl

http://pgkim-inowroclaw.samorzady.pl

S膮d Rejonowy w Bydgoszczy, XIII Wydzia艂 Gospodarczy Krajowego Rejestru S膮dowego Numer KRS 0000059483

REGON: 091581150 NIP: 556-080-08-85

Kapita艂 zak艂adowy Sp贸艂ki: 2聽118聽500, 00 z艂

Konto: Bank Zachodni WBK S. A.O/ Inowroc艂aw聽聽聽聽聽 88 1090 1069 0000 0000 0701 3956

Adres strony internetowej, na kt贸rej dost臋pna jest specyfikacja istotnych warunk贸w zam贸wienia: http://pgkim-inowroclaw.samorzady.pl

1.1. Op艂ata za otrzymanie specyfikacji istotnych warunk贸w zam贸wienia b臋dzie pokrywa膰 jedynie koszty jej druku orazprzekazania.

1.2.Wykonawca zainteresowany post臋powaniem powinien z艂o偶y膰 wniosek u zamawiaj膮cego z podaniem wszystkich danych firmy -niezb臋dnych do przekazywania zmian i zapyta艅 dotycz膮cych powy偶szego post臋powania.

1.3.Osoby do kontakt贸w:

a) Krystyna Glonek, tel. / faks 052 35 64聽304,

b) Dorota Ma艂ek, tel. 052 35 64聽325.

2. Rodzaj zam贸wienia:聽聽 roboty budowlane

3.Tryb Post臋powania:przetarg nieograniczony

4. Numer og艂oszenia w BZP: 153983 - 2007; data zamieszczenia 30.08.2007 r.

5.Okre艣lenie przedmiotu zam贸wienia:

Tytu艂 post臋powania: "Modernizacja centralnego ogrzewania w budynkach mieszkalnych przy ulicy M膮tewskiej 15 A, B, C, D w Inowroc艂awiu".

Przedmiot zam贸wienia obejmuje: wymian臋 instalacji centralnego ogrzewania- ruroci膮g贸w, grzejnik贸w, wykonanie sieci cieplnej wewn臋trznej niskoparametrowej miedzy budynkami.

6. Wsp贸lny S艂ownik Zam贸wie艅 CPV: 45.33.00.00-9, 45.33.10.00-6.

7. Zamawiaj膮cy nie dopuszcza sk艂adania ofert wariantowych.

8. Zamawiaj膮cy nie dopuszcza sk艂adania ofert cz臋艣ciowych.

9. Zamawiaj膮cy nie przewiduje zawarcia umowy ramowej, jak r贸wnie偶 nie dokona wyboru oferty najkorzystniejszej z zastosowaniem aukcji elektronicznej.

10. Termin wykonania zam贸wienia - 2 miesi膮ce od podpisania umowy.

11. O udzielenie zam贸wienia mog膮 ubiega膰 si臋 wykonawcy, kt贸rzy:

1) posiadaj膮 uprawnienia do wykonywania okre艣lonej dzia艂alno艣ci lub czynno艣ci, je偶eli ustawy nak艂adaj膮 obowi膮zek posiadania takich uprawnie艅,

2) posiadaj膮 niezb臋dn膮 wiedz臋 i do艣wiadczenie oraz potencja艂 techniczny, a tak偶e dysponuj膮 osobami zdolnymi do wykonania zam贸wienia,

3) znajduj膮 si臋 w sytuacji ekonomicznej i finansowej zapewniaj膮cej wykonanie zam贸wienia,

4) nie podlegaj膮 wykluczeniu z post臋powania o udzielenie zam贸wienia.

Zamawiaj膮cy oceni spe艂nienie warunk贸w wymienionych w niniejszym rozdziale na podstawie z艂o偶onych przez Wykonawc臋, do oferty, o艣wiadcze艅 i dokument贸w.

Ocena spe艂niania warunk贸w dokonana zostanie na zasadzie:

聽聽聽聽聽聽聽聽聽聽聽聽聽聽聽聽聽聽聽聽聽聽聽聽聽聽聽聽聽聽聽聽聽聽聽聽聽聽聽聽聽聽聽聽聽聽聽聽 spe艂nia/ nie spe艂nia

12. W celu potwierdzenia, 偶e wykonawca posiada uprawnienie do wykonywania okre艣lonej dzia艂alno艣ci lub czynno艣ci oraz nie podlega wykluczeniu na podstawie art. 24 ustawy z dnia 29 stycznia 2004 r. - Prawo zam贸wie艅 publicznych, zwanej dalej "ustaw膮", zamawiaj膮cy 偶膮da

nast臋puj膮cych dokument贸w:

a) aktualnego odpisu z w艂a艣ciwego rejestru albo aktualnego za艣wiadczenia o wpisie do ewidencji dzia艂alno艣ci gospodarczej, je偶eli odr臋bne przepisy wymagaj膮 wpisu do rejestru lub zg艂oszenia do ewidencji dzia艂alno艣ci gospodarczej, wystawionego nie wcze艣niej ni偶 6 miesi臋cy przed up艂ywem terminu sk艂adania ofert,

b) o艣wiadczenie wykonawcy, 偶e nie posiada zaleg艂o艣ci podatkowej wobec Naczelnika Urz臋du Skarbowego,

c) o艣wiadczenie wykonawcy, 偶e nie posiada zaleg艂o艣ci wobec Zak艂adu Ubezpiecze艅 Spo艂ecznych w op艂acaniu sk艂adek na ubezpieczenie spo艂eczne, zdrowotne oraz Fundusz Pracy.

12.1. W celu potwierdzenia posiadania przez wykonawc臋 niezb臋dnej wiedzy i do艣wiadczenia oraz os贸b zdolnych do wykonania zam贸wienia, zamawiaj膮cy 偶膮da nast臋puj膮cych dokument贸w:

a) wykazu wykonanych rob贸t budowlanych w okresie ostatniego 1 roku, przed dniem wszcz臋cia post臋powania o udzielenie zam贸wienia, z podaniem ich warto艣ci oraz daty i miejsca wykonania oraz za艂膮czeniem dokument贸w potwierdzaj膮cych, 偶e roboty te zosta艂y wykonane nale偶ycie, z艂. nr 2 do siwz (minimum 1 referencja),

b) zamawiaj膮cy 偶膮da za艂膮czenia kserokopii uprawnie艅 budowlanych w specjalno艣ciach obj臋tych przedmiotem zam贸wienia,

c) aktualnego wpisu do w艂a艣ciwych Izb Zawodowych.

12.2. W celu potwierdzenia, 偶e wykonawca znajduje si臋 w sytuacji ekonomicznej i finansowej zapewniaj膮cej wykonanie zam贸wienia zamawiaj膮cy 偶膮da nast臋puj膮cych dokument贸w:

a) polisy, a w przypadku jej braku innego dokumentu potwierdzaj膮cego, 偶e wykonawca jest ubezpieczony od odpowiedzialno艣ci cywilnej w zakresie prowadzonej dzia艂alno艣ci.

12.3. Wype艂nione nast臋puj膮ce za艂膮czniki:

a) o艣wiadczenie w trybie art.22 ust.1 pkt.1-4ustawyPzp (za艂. nr 3 do siwz).

b) formularz ofertowy wykonawcy (za艂. nr 1 do swiz).

12.4.Kosztorys ofertowy, kt贸ry musi by膰 integraln膮 cz臋艣ci膮 z艂o偶onej oferty. Podstaw膮 do opracowania przez Wykonawc臋kosztorysu ofertowego jestprzedmiar rob贸t, b臋d膮cy za艂膮cznikiem do siwz.

Wykonawca mo偶e przyj膮膰 dowoln膮 form臋 i podstaw臋 wyceny rob贸t.

13. Kryteria oceny ofert:

a) cena wykonania zam贸wienia, stanowi聽聽聽聽 -聽聽聽聽聽聽聽 80 %

b) gwarancja, stanowi聽聽聽聽聽聽聽聽聽聽聽聽聽聽聽聽聽聽聽聽聽聽聽聽聽聽聽聽聽聽聽聽聽 -聽聽 20 %

14. Termin sk艂adania ofert:

Data: 20.09.2007 r. godz. 9.50 -otwarcie: 20.09.2007 r. godz. 10.00

15. Miejsce sk艂adania ofert:

Przedsi臋biorstwo Gospodarki Komunalnej i Mieszkaniowej sp. z o.o. w Inowroc艂awiu, ul. ks. P. Wawrzyniaka 33, sekretariat 1 pi臋tro.

16. Zwi膮zanie ofert膮30 dni.

17. Zabezpieczenie nale偶ytego wykonania umowy zamawiaj膮cy ustali艂 w wysoko艣ci 2 % od ustalonej warto艣ci zam贸wienia.

Podpis:

聽聽聽聽聽聽聽聽聽聽聽 聽聽聽聽聽聽

TypRozmiarPobierzKomentarzData dodaniaLicznik 
.DOC195 KB POBIERZspecyfikacja istotnych warunk贸w zam贸wienia.2007-08-30 12:56:13447
.DOC85.5 KB POBIERZza艂. nr 5 do siwz - STWiOR2007-08-30 12:56:41513
?10.8 KB POBIERZza艂. nr 6 do siwz-przedmiar2007-08-30 12:56:56496
?3.3 KB POBIERZza艂. nr 6 do siwz-przedmiar2007-08-30 12:57:09507
?6.3 KB POBIERZza艂. nr 6 do siwz-przedmiar2007-08-30 12:57:21518
?4.2 KB POBIERZza艂. nr 6 do siwz-przedmiar2007-08-30 12:57:33481
?7 KB POBIERZza艂. nr 6 do siwz-przedmiar2007-08-30 12:57:45545
?2.5 KB POBIERZza艂. nr 6 do siwz-przedmiar2007-08-30 12:57:58433
graf.4495.8 KB POBIERZza艂. nr 7 - projekt budowlany2007-08-30 12:59:28463
graf.2921.1 KB POBIERZza艂. nr 7 - projekt budowlany2007-08-30 13:03:28405
graf.3853.7 KB POBIERZza艂. nr 7 - projekt budowlany2007-08-30 13:04:48401
graf.4400.3 KB POBIERZza艂. nr 7 - projekt budowlany2007-08-30 13:06:11425
graf.3601.3 KB POBIERZza艂. nr 7 - projekt budowlany2007-08-30 13:07:30504
graf.3817.4 KB POBIERZza艂. nr 7 - projekt budowlany2007-08-30 13:08:44404
graf.3903.8 KB POBIERZza艂. nr 7 - projekt budowlany2007-08-30 13:10:02483
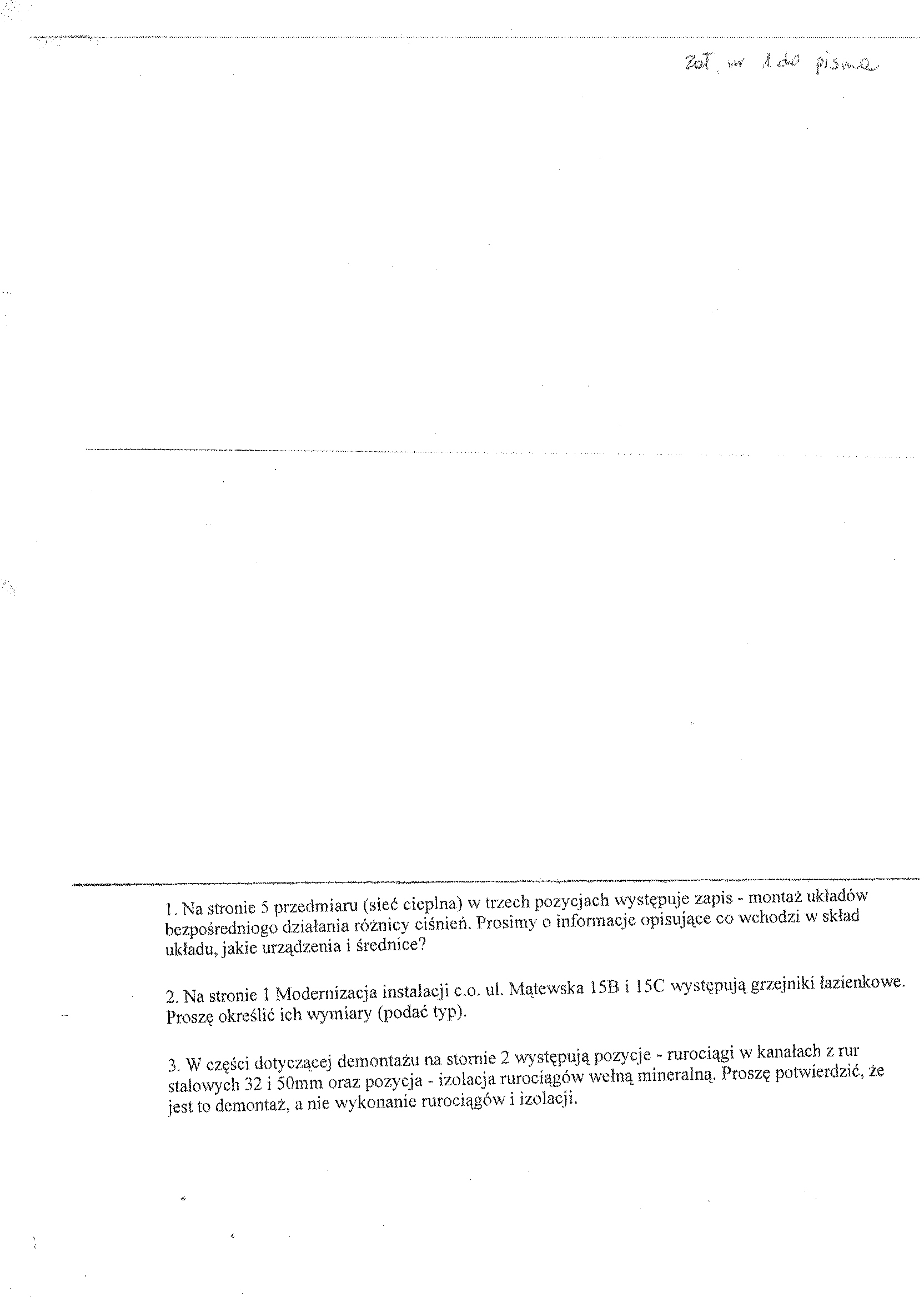
graf.839.1 KB POBIERZodpowiedzi na zapytania2007-09-17 14:16:10418
graf.337.5 KB POBIERZtre艣膰 pyta艅2007-09-17 14:16:35454
graf.738.7 KB POBIERZZmiana terminu2007-09-18 13:15:54420
graf.1711.9 KB POBIERZDodatkowy przedmiar2007-09-18 13:16:47405
graf.878.1 KB POBIERZZawiadomienie o wyniku post臋powania2007-09-28 09:33:30443
graf.802.9 KB POBIERZZbiorcze zestawienie ofert2007-09-28 09:34:09442
graf.467.2 KB POBIERZStreszczenie oceny i por贸wnanie z艂o偶onych ofert.2007-09-28 09:34:49454

Autor : kg
Zredagowa艂(a) : Krystyna Glonek
Data wprowadzenia : 2007-08-30 12:55:30
Data ostatniej modyfikacji : 2007-08-30 12:55:30
Liczba wy艣wietle艅 : 1708



licznik odwiedzin: 5948321